Zur Hauptseite  ..\

zur Glossarseite    Ohne Frames

 Anderson Darling Test mit Excel Beispiel

 

Der Anderson Darling Test ist ein Anpassungstest für verschiedene Verteilungsfunktionsarten.

Ein modifizierter Kolmogoroff Smirnoff Anpassungstest

Während letzterer auf jede Verteilungsfunktionsart ohne weitere Modifikation angewendet werden kann, ist der Anderson Darling Test verteilungsfunktions-spezifisch aufgebaut, das heisst, er funktioniert beispielsweise bei Normalverteilung anders als bei Weibullverteilung.

Das hat zur Folge, das kritische Werte in Abhängigkeit von der Verteilungsfunktionsform tabelliert werden müssen. Dafür ist er jedoch genauer.

Der Anderson Darling Test bewertet die Randbereiche ("Schwänze") von Verteilungsfunktionen kritischer als der Kolmogoroff Smirnoff Anpassungstest. 

 

Normalverteilung:

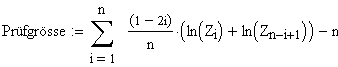
Die Prüfgrösse und kritischer Wert (zum Signifikanzniveau 95%) des Anderson Darling Tests lauten:

Anderson Darling Teststatistik
Die Prüfgrösse wird auch als A oder A2 bezeichnet
Die Werte i müssen aufsteigend geordnet sein.

n: Stichprobengrösse

Zi: Die kumulierte Fläche der Normalverteilung von -00 bis zum Wert xi

Der kritische Wert (Schwellenwert) hängt, abgesehen vom Alpharisiko, auch von der Frage ab, ob Mittelwert und Standardabweichung als bekannt vorausgesetzt werden können, oder ob sie aus den Messwerten geschätzt werden müssen. Für Alpha = 5% und sowohl Mittelwert als auch Standardabweichung bekannt, gilt

Kritischer_Wert0,95 = 0,752.

Wenn sowohl Mittelwert als auch Standardabweichung als unbekannt vorausgesetzt werden, also aus den Messdaten geschätzt werden müssen, dann gilt

Hinweis: Anstelle den kritischen Wert umzuskalieren kann man auch die Prüfgrösse A in A*umskalieren:

A* = A(1+3/4n +9/4n2)


Für Alpha = 10% bzw. 1% nimmt man statt 0,752 den Wert 0,631 bzw. 1,035.

n: Stichprobengrösse

Bei Lognormal-verteilten Daten muss man die Daten zuerst logarithmus-transformieren, dann kann man mit dem Anderson Darling Test für Normalverteilung fortfahren.

Für ein Berechnungsbeispiel (A-D Test auf Normalverteilung) in Excel siehe hier.

Weibullverteilung:

Der Anderson Darling Test auf Weibullverteilung funktioniert nahezu identisch.

Es wird dieselbe Prüfgrösse wie weiter oben berechnet. Die Formel ist identisch, doch sind die Zi dann die Quantile der Weibullverteilung, und werden daher anders berechnet als die Zi der Normalverteilung.

Die Schwellenwerte sind denen für Normalverteilung sehr ähnlich:

0,637 für alpha = 10%, 0,757 für 5% und 1,038 für 1%.


Der Anpassungsfaktor für den Fall unbekannter Verteilungsparameter bekommt die Gestalt


A* = A[1+1/(5n1/2)]


Für eine Berechnungsbeispiel (A-D Test auf Weibullverteilung) in Excel siehe hier.


24.09.2018
Datenschutzhinweise