Zur Hauptseite  ..\

zur Glossarseite    Ohne Frames

 Bartlett Test auf Varianzhomogenität

 

Der Bartlett Test testet auf Varianzgleichheit mehrerer Stichproben

Wichtig (Varianzhomogenität) ist z.B. vor der Durchführung einer ANOVA.

Voraussetzung:

Die Stichproben sollten annähernd normalverteilt sein. 

Ist diese Voraussetzung nicht gegeben: -> Levene Test.

 

Nullhypothese: "Alle Stichproben haben die selbe Varianz" 

Alternativhypothese: "Wenigstens 2 Stichproben unterscheiden sich in ihren Varianzen". 

Der Bartlett Test ist also ein Omnibustest, da er diejenigen Stichproben , deren Varianz sich von den anderen Stichproben unterscheiden, nicht explizit benennt.

 

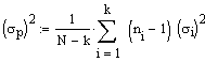
Gegeben seien k Stichproben mit den Umfängen ni und dem Gesamtumfang N

Dann ist die Prüfgrösse  T für den Bartlett Test

Bartlett Teststatistik


Bartlett Teststatistik

Bartlett Teststatistik


Korrekturfaktor: Dient zur Aufhebung der Bias

sp2: Gepoolte Varianz aller k Stichproben. 

ln: Natürlicher Logarithmus.

si: Varianz der i-ten Stichprobe (i=1...k)

k: Anzahl der Stichproben

N: Gesamtzahl aller Werte in den Stichproben.

 

Chi Quadrat verteilt mit (k-1) Freiheitsgraden.

 

Siehe auch Levene Test. 

Siehe auch Box's M-Test.

 

Datenschutzhinweise