Zur Hauptseite  ..\

zur Glossarseite    Ohne Frames


 Produkt-Moment oder Bravais-Pearson Korrelationskoeffizient

 

"DER" Korrelationskoeffizient.

Metrisches Skalenniveau:

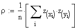
" Zusammenhangsmass" der Korrelationsanalyse. Meistens ist der (Bravais Pearsonsche) Produkt-Moment-Korrelationskoeffizient gemeint ( metrisches Skalenniveau), welcher

die mit den beiden Standardabweichungen standardisierte Kovarianz darstellt:

Produkt-Moment oder Bravais-Pearson Korrelationskoeffizient, oder  Produkt-Moment  Korrelationskoeffizient, oder  Bravais-Pearson Korrelationskoeffizient.

Für letztere Beziehung siehe Z-Transformation (Gauss).

 

Voraussetzung: 

Die beiden zu korrelierenden Variablen müssen normalverteilt sein. 

Sie bilden also eine zweidimensionale Normalverteilung.

 

Der Korrelationskoeffizient kann aufgefasst werden als Cosinus des Winkels der beiden Geraden " Regression von x auf y" und "Regression von y auf x". 

Für weitere Zusammenhänge siehe auch Bestimmtheitsmass

 

Für Signifikanzberechnungen des Korrelationskoeffizienten siehe Z-Transformation (Fisher)

Weitere statistische Tests und Fallzahlplanung siehe unter Korrelationskoeffizient_Detailliert

 

Korrelationskoeffizienten für andere Skalenniveaus: siehe folgende Tabelle.

 

Für eine Gegenüberstellung Pearson'scher Korrelationskoeffizient - Spearman'scher Rangkorrelationskoeffizient - Kontingenzkoeffizient F siehe diese Exceldatei.

 

Siehe auch multiple Korrelation. 

Siehe auch Standardfehler.


Datenschutzhinweise