zurück zum Glossar (momentenerzeugende Funktion)
Fouriertransformierte einer Wahrscheinlichkeitsverteilung.
Rechenhilfe zur einfachen Berechnung der Momente einer Verteilungs(Dichte-)Funktion.
Hierzu gebräuchlich ist auch die momentenerzeugende Funktion.
| Charakteristische Funktion | Momentenerzeugende Funktion | ||
| Angewandt auf eine Wahrscheinlichkeitsverteilung ergibt: | |||
| kontinuierlich | diskret | kontinuierlich | diskret | 
![]()  | 
      ![]()  | 
      ![]()  | 
      ![]()  | 
    
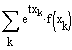
| Dies ist der  Erwartungswert von  | 
      Dies ist der Erwartungswert
von   | 
    ||
| 
       Die j-te Ableitung nach t ergibt:  | 
    |||
![]()  | 
      ![]()  | 
      ![]()  | 
      ![]()  | 
    
      
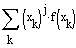
  | 
      
      
  | 
    ||
| 
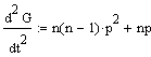
       Nun setzt man t=0 und erhält  | 
    |||
![]()  | 
      ![]()  | 
      ||
| 
       Dies sind die j-ten Momente der Wahrscheinlichkeitsverteilung F(x) bezüglich x für den diskreten bzw. kontinuierlichen Fall. 
 Anmerkung: t=0 bedeutet  Die Antwort auf Frage, weshalb man t=0 nicht von
Anfang an eingesetzt hat, ist ganz einfach: Weil man dann nicht in den
Genuss der durch   | 
    |||
2 Beispiele zur Berechnung diverser Momente mit Hilfe der momentenerzeugenden Funktion
1.a) Berechnung der momentenerzeugenden Funktion
                
Der
Erwartungswert
von 
 
lautet dann: 
 
<=>  
 
<=>  
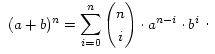
Der letzte Umformungsschritt folgt direkt aus dem binomischen Lehrsatz

1.b) Berechnung des Mittelwertes
Das
erste
Moment berechnet sich mittels der ersten Ableitung nach t zu:  
 
mit
t=0 ergibt
sich: 
,
also Mittelwert = np.
1.c) Berechnung der Varianz
Das zweite Moment berechnet sich zu:
<=> 
mit t=0 ergibt sich:
 
Mit der unter Varianz angegebenen Formel
 
ergibt sich 
 
= np(1-p), 
also Varianz = np(1-p).
2.a)Berechnung der momentenerzeugenden Funktion

Erwartungswert
von
:
 
 
<=>  
 
<=>  
2.b) Berechnung des Mittelwertes
 mit t=0 ergibt sich 
,
also
Mittelwert
= 
 
2.c) Berechnung der Varianz
mit t=0 ergibt sich 
,
mit der bei Varianz angegebenen Formel
ergibt sich  
Varianz
= 
 
2.d) Berechnung der Schiefe
 
mit t=0 und der bei Schiefe und Varianz angegebenen Formeln
 
bzw. 
![]()
ergibt sich nach mehreren Umformumngsschritten
![]()
zurück zum Glossar (momentenerzeugende Funktion)
21.08.2005