Siehe insbesondere die
Anmerkungen am Ende dieser Rubrik. Der Verfasser meint, einen Fehler gefunden zu haben.
Der Neumann Trendtest setzt normalverteilte Daten voraus.
Testet man Mittelwerte auf Trend, dann ist es egal, wie die Verteilungsform der Daten aussieht, aus denen die Mittelwerte berechnet werden, dann Mittelwerte sind immer approximativ normalverteilt.
Dieser Test untersucht eine zeitlich geordnete Wertereihe nach einem Trend.
Prüfgrösse ist der Quotient aus sukzessiver Differenzstreuung und der Varianz.
![]()
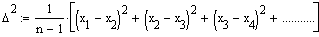
Die sukzessive Differenzstreuung D2 ist die
[Summe der quadrierten Differenzquadrate aller benachbarter Werte] / [Anzahl Freiheitsgrade]:
, n-1: Freiheitsgrade (n=Anzahl Werte x)
Der Erwartungswert von D2 liegt bei 2.
Für Stichprobenumfänge < 60 liegen tabellierte Werte vor. (Siehe unten).
Für
n> 60 gilt folgende approximative Formel (die vermutlich falsch ist, siehe Anmerkung unten):

Wenn
kleiner oder gleich dem kritischen Wert ,
dann liegt ein Trend zum Signifikanzniveau (1-a) vor.
Hierbei ist Z die von minus unendlich bis (1-a) kumulierte Fläche der Standardnormalverteilung.
Die Excelformel für Z lautet beispielsweise für (1-a) = 99%
STANDNORMINV(0.99) = 2,326
Beispiel
1.)
Urwerte
![]()
n = 30

Per Augenmass ist ein steigender Trend vorhanden
2.)
Sukzessive Differenzstreuung : 31,83
Varianz: 26,44
Prüfgrösse:
31,83 / 26,44 = 1,20
Kritischer
Wert für (1-a) = 99% gemäss Näherungsformel:
= 1,59
und gemäss unten stehender Tabelle (Spalte 1%, n=30) = 1,1951
Das
Ergebnis der Näherungsformel weicht deutlich vom Wert aus der Tabelle
ab. Das ist ein Indiz dafür, dass die Formel einen Fehler enthält.
Dieser Vermutung wird weiter unten in der Anmerkung nachgegangen.
Wir orientieren uns in diesem Beispiel am Tabellenwert:
Da 1,20 > 1,1951 muss die Trendhypothese zum Signifikanzniveau 99% verworfen werden.

Eine Excelversion des Neumann Trendtests befindet sich
hier.
Dort ist auch die obige Tabelle hinterlegt.
Anmerkung:
Die
approximative Formel wird in sämtlichen, dem Verfasser
zugänglichen Quellen mit
angegeben.
Der Verfasser hat im Grenzbereich n ~ 60 die Tabellenwerte mit den Werten verglichen, die man mit der approximativen Formel erhält.
Dabei wurde festgestellt, dass die approximative Formel für Stichprobenumfänge um 60 eine ziemlich schlechte Näherung ist. Genaugenommen ist die Approximationsformel sehr liberal, d.h.: Der Test entscheidet vorschnell zugunsten Signifikanz.
Nach einigem Probieren gelangt der Verfasser zu der Ansicht, dass
die Formel für kein n glaubhafte Werte liefert, die Formel also einen Fehler enthalten muss,
eine leichte Modifikation der Formel, nämlich
, erstaunlich gute
Übereinstimmung mit den Tabellenwerten im Bereich n=60 liefert:
| n | p[%] | Tabellenwert |
Approximative Formel |
Modifizierte approximative Formel |
| 60 | 95 | 1,5814 | 1,7912 | 1,5824 |
| 60 | 99 | 1,4144 | 1,7047 | 1,4094 |
| 60 | 99,9 | 1,2349 | 1,6077 | 1,2154 |
Auch für deutlich kleinere n als 60 zeigt die modifizierte Formel glaubhafte Übereinstimmung mit den Tabellenwerten.
Da sich die modifizierte approximative Formel optisch kaum von der approximativen Formel unterscheidet, nimmt der Verfasser ohne weiteren Beweis an, dass es sich um einen allgemeinen Schreibfehler in allen untersuchten Literaturquellen handeln muss.
zurück zum Glossar (Neumann Trendtest)