Zur Hauptseite  ..\

zur Glossarseite    Ohne Frames

Transformierte Statistik

Unter transformierten Statistiken versteht man umgeformte Ausdrücke, die auf folgende Verteilungsfunktionen Bezug nehmen:

Insbesondere die ersten 3 davon sind "künstlich geschaffene" Verteilungsfunktionen.  

Zweck der genannten Verteilungsfunktionen ist nämlich weniger die Beschreibung von Wahrscheinlichkeitsverteilungen realer Grundgesamtheiten als vielmehr die Bestimmung von Vertrauensbereichen und Zufallsstreubereichen von Parametern

Bei nahezu allen parametrischen Tests werden Prüfgrössen berechnet, die sich mittels der zuvor genannten Verteilungsfunktionen darstellen lassen. 

Beispiele



Erklärung Erwartungswert / wenn gilt / Anzahl  Freiheitsgrade Transformierte Statistik
Vergleich eines Stichprobenmittelwertes mit dem einer normalverteilten Grundgesamtheit

(s bekannt)

Siehe auch Standardnormalverteilung

0
/
X=µ

/
 keine

Gauss verteilt

Vergleich eines Stichprobenmittelwertes mit dem einer normalverteilten Grundgesamtheit

(s unbekannt

Siehe auch t-Verteilung.

0
 /
X=µ
/
n-1

t-verteilt

Vergleich einer Stichprobenstreuung mit der Streuung einer normalverteilten Grundgesamtheit

(s bekannt

Siehe auch Chi Quadrat Verteilung.

1
 /
s=
s
/
n-1

Chi Quadrat verteilt

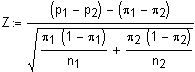
ergleich des Unterschiedes zweier Mittelwerte X1 und X2 mit denen zweier vorgegebener Grundgesamtheiten mit jeweils bekannten Varianzen s12 und s22

Siehe auch Standardnormalverteilung.

0
/
X1-X2 = µ12

/
keine
Z-Test Mittelwertsunterschiede
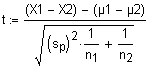
Vergleich des Unterschiedes zweier Mittelwerte X1 und X2 mit denen zweier vorgegebener Grundgesamtheiten mit jeweils unbekannten Varianzen s12 und s22  

Siehe auch  t-Verteilung.

0
/
X1-X2 = µ12

/
n1+n2-2

t-Test Mittelwertsunterschiede

wobei 

Vergleich des Anteilswertes einer Stichprobe mit dem Anteilswert einer binomialverteilten bekannten Grundgesamtheit mit Mittelwert n*p und Varianz n*p (1-p Siehe auch Standardnormalverteilung 0
/
 p
= p
/

keine
Transformierte Statistik Anteilswert
Vergleich des Unterschiedes zweier Anteilswerte mit dem Unterschied der Anteilswerte zweier binomialverteilter bekannter Grundgesamtheiten. 

Siehe auch Standardnormalverteilung.

0
/
p1 =
p1
und
p2 =
p2
/

keine
Transformierte Statistik Anteilswerte
Vergleich des Unterschiedes zweier Varianzen s12 und s22    Siehe auch F-Verteilung 1
/
s1=s2
/
n1-1 und n2-1
F-verteilt

 

Datenschutzhinweise