Fisher Pitman Test und Fishers exakter Test, Randomisierungstest auf  Unterschied bei Mittelwerten

Resamplingtests für abhängige und unabhängige Stichproben

Ohne Frames

Fisher Pitman Test und Fishers exakter Test sind Randomisierungstests, auch Resampling genannt. Der Fisher Pitman Test wird auf die Mittelwerte zweier unabhängiger Stichproben, und der Fishers exakter Test auf die Mittelwerte zweier abhängiger Stichproben angewendet.

Zurück zum Glossar (Fisher Pitman)

Fisher Pitman Test

 

Der Fisher Pitman Test ist ein Randomisierungstest für 2 unabhängige Stichproben.

Bei 2 abhängigen Stichproben siehe dagegen weiter unten Fisher's Randomisierungstest.

Prüft, ob die Mittelwerte zweier Stichproben gleich sind.

 

Wie bei (fast) allen Randomisierungstest liegt der Wesenszug darin, alle denkbaren Möglichkeiten durchzuspielen und die kumulierte Wahrscheinlichkeit derjenigen Kombinationen zu berechnen, die noch extremer oder unwahrscheinlicher sind als die zu testende Kombination.

Beispielskizze:

 

1.)

Ausgangswerte

  Messwerte Mittelwert Anzahl Werte
Messreihe 1 18 24 25         22,67 3
Messreihe 2 21 29 29 30 31 31 31 28,86 7

 

2.)

Randomisierung

Man wirft alle 10 Werte der beiden Messreihen in einen Topf und zieht 3 beliebige Werte für Messreihe 1. Messreihe 2 ergibt sich dann aus den restlichen Werten.

Um aus 10 Werten 3 ohne Zurücklegen zu ziehen gibt es [10 über 3]  Möglichkeiten.

Mit der Excelfunktion KOMBINATIONEN(10;3) berechnet man hierfür 120 Möglichkeiten.

Durch Ausprobieren, was in diesem beispiel wohl einfach, im Allgemeinen aber manuell eher unmöglich ist, ermittelt man, dass der Mittelwert von 22,67 für die erste Stichprobe lediglich von 2 weiteren Kombinationen noch unterschritten wird: (18,21,24) und (18,21,25).

Da bei Gültigkeit der Nullhypothese ("Alle Werte der beiden Stichproben sind zufällig") alle Kombinationen gleich wahrscheinlich sind, beträgt die kumulierte Wahrscheinlichkeit für diese beiden und die vorliegende Kombination also 3/120 =5%.

Das Signifikanzniveau liegt also bei 95%.

 

Für eine Exceldatei mit dem Fisher Pitman Test für 2 Stichproben mit zusammen bis zu 15 Werten siehe hier.

Da die Datei mehrere MB gross ist gibt es sie hier gezippt.

Bei grösseren Stichproben ist der t-Test vorzuziehen, weil der Rechenaufwand beim Fisher Pitman Test mit der Stichprobengrösse unverhältnismässig steigt.

 

Ausdehnung auf mehrere Stichproben.

Bedingungen:

Die folgende Vorgehensweise entspricht der einer ANOVA, weshalb man auch von einer Randomosierungs- Varianzanalyse spricht. 

 

1.)

Ziehen von k Stichproben mit jeweils n Werten. 

 

2.)

Berechnung der mittleren Quadratesummen und des F-Wertes (Siehe auch F-Test)

 

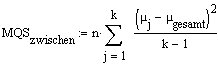
mittlere Quadratesumme

Mittlere Quadratesumme zwischen den Stichproben

mittlere Quadratesumme

Mittlere Quadratesumme innerhalb der Stichproben

µj: Mittelwert der j-ten Stichprobe,

µgesamt:  Gesamtmittelwert

k: Anzahl Stichproben

n: Anzahl Werte in jeder Stichprobe (Stichproben sind gleich gross)

 

Der F-Wert ist der Quotient

F-Wert 

Dies ist der empirische F-Wert für die vorliegenden Daten.

 

3.)

Berechnung aller  F-Werte für alle denkbaren Kombinationen. 

Es gibt insgesamt   Kombinationen  Möglichkeiten, N Werte auf k Stichproben der Grösse n zu verteilen.

Sei Z die Anzahl derjenigen Möglichkeiten davon, deren F-Wert grösser oder gleich gross ist als der F-Wert der vorliegenden Daten, dann berechnet sich das Signifikanzniveau zu .

 

Dieser Test ist bereits für 3 sehr kleine Stichproben ohne spezielle Software kaum praktikabel.

 

Zurück zum Glossar (Fisher Pitman)

24.08.2005


Zurück zum Glossar (Fisher's Randomisierungstest)

Fisher's Randomisierungstest  (exakter Test)

 

Randomisierungstest für 2 abhängige Stichproben.

Bei 2 unabhängigen Stichproben siehe Fisher Pitman Test.

Prüft, ob die Messwerte zweier Messreihen sich vor und nach der Messwiederholung unterscheiden.

Wie bei (fast) allen Randomisierungstest liegt der Wesenszug darin, alle denkbaren Möglichkeiten durchzuspielen und die kumulierte Wahrscheinlichkeit derjenigen Kombinationen zu berechnen, die noch extremer oder unwahrscheinlicher sind als die vorliegende Kombination.

Beispielskizze:

 

1.) und 2.)

Ausgangswerte und Berechnung der gerichteten Differenzen zwischen allen Wertepaaren.

  Messwerte Anzahl Werte
Messreihe 1 17 22 22 15 24 22 21 21 17 21 10
Messreihe 2 20 21 21 22 24 22 23 21 22 23
Gerichtete Differenz -3 +1 +1 -7 0 0 -2 0 -5 -2  

 

2.)

Prüfgrösse ist die Summe der gerichteten Differenzen der vorliegenden Stichproben.

S= -17.

Nun spielt man alle Vorzeichenkombinationen der gerichteten Differenzen durch und berechnet die kumulierte Wahrscheinlichkeit derjenigen Vorzeichenkombinationen, deren kumulierte Differenzen kleiner oder gleich -17 sind.

Man sieht in diesem Beispiel recht einfach, dass diese Kombinationen nur durch Verdrehen der Vorzeichen der gerichteten Differenzen +1, +1, -2 und -2 entstehen. Bei 6 dieser Möglichkeiten wird -17 erreicht oder unterschritten.

Nulldifferenzen sind wie normale Differenzen zu behandeln, was gleichbedeutend ist mit dem Weglassen der Nulldifferenzen.

Insgesamt ergeben sich  210 Möglichkeiten mit Berücksichtigung der Nulldifferenzen. Bei 6*23 Möglichkeiten (wieder mit Berücksichtigung der Nulldifferenzen, die 23 steht für die 3 Nullen) wird -17 erreicht oder unterschritten.

 

Da bei Gültigkeit der Nullhypothese ("Alle Differenzen der beiden Stichproben sind zufällig") alle Vorzeichenkombinationen gleich wahrscheinlich sind, beträgt die kumulierte Wahrscheinlichkeit für diese beiden und die vorliegende Kombination also [6*23]/[210] = 4,69%, was identisch ist mit [6]/[27] = 4,69%, ohne Berücksichtigung der Nulldifferenzen.

Das Signifikanzniveau liegt also bei 95,31%.

 

Für eine Exceldatei mit dem Fisher Radomisierungstest für 2 Stichproben mit je bis zu 15 Werten siehe hier.

Da die Datei mehrere MB gross ist. gibt es sie hier gezippt

Bei grösseren Stichproben ist der t-Test (für abhängige Stichproben) vorzuziehen.

 

Anmerkung

Fisher's Randomisierungstest gewichtet die Vorzeichen der Differenzen nach ihrem Betrag.

Der Vorzeichen Rangtest hingegen gewichtet die Differenzen "nur" nach ihrem Rang in der geordneten Rangreihe.

Der Vorzeichentest dagegen gewichtet lediglich nach der Anzahl positiver und negativer Differenzen.

Zurück zum Glossar (Fisher's Randomisierungstest)

24.08.2005

Datenschutzhinweise