Tests auf Autokorrelation

Durbin Watson Test, Durbin h-Statistik, Ljung Box Test
Ohne Frames

Autokorrelation bedeutet Korrelation mit sich selbst. Hier werden ein paar Tests beschrieben, mit denen man Autokorrelation nachweisen kann.

In der Statistik ist Autokorrelation meistens nicht erwünscht; in der Elektrotechnik und Physik dagegen wird sie meistens bewusst herbeigeführt.


Zurück zum Glossar (Durbin Watson Test)

 

Im Folgenden werden Tests beschrieben, die zur Entdeckung von Autokorrelation dienen. 

Diese Tests sind dann angebracht, wenn 

Zurück zum Glossar (Durbin Watson Test)

Durbin Watson Test

 

Der Durbin Watson Test testet "nur" auf Autokorrelation erster Ordnung, d.h, ob die Werte einer Reihe von den jeweiligen unmittelbaren Vorgängern geprägt sind.

Der Test wird mit den Residuen, also nach erfolgtem Regressionsmodell durchgeführt.

 

Die Residuen sind nach dem Regressionsmodell "übriggebliebene" Störgrössen oder Zufallseinflüsse der Ausgangsvariablen.

Folglich ist dieser Test aussagelos hinsichtlich Autokorrelation der Ausgangsvariablen.

Siehe hierzu Durbin h-Statistik oder Ljung Box Test.

 

Die Prüfgrösse lautet:

Durbin Watson Teststatistik
  • r sind die Residuen nach erfolgter Regression.
  • d kann Werte zwischen 0 und 4 annehmen.

 

Kritische Werte von d liegen für mehrere Signifikanzniveaus tabelliert weiter unten vor.

Die Nullhypothese lautet:

"Korrelationskoeffizient der Autokorrelation erster Ordnung = 0"

 

Falls d <dl : Nullhypothese ablehnen.

Falls d >du  : Nullhypothese kannn icht verworfen werden.

Falls d zwischen dl und d: Keine Entscheidung möglich.

 

Der Indifferenzbereich rührt daher, dass dieser Test keine weitreichenden Annahmen über die zugrundegelegte Verteilungsfunktion macht.

 




Durbin Watson Test Schwellenwerte

Zurück zum Glossar (Durbin Watson Test)

21.08.2005


Zurück zum Glossar (Durbin h-Statistik)

Durbin h-Statistik 

 

Dieser Test testet "nur" auf Autokorrelation erster Ordnung, d.h, ob die Werte einer Reihe von den jeweiligen unmittelbaren Vorgängern geprägt sind. 

Für den Test von mehr als nur erster Ordnung siehe Ljung-Box Test

Durbin h-Statistik testet im Gegensatz zum Durbin Watson Test auf Autokorrelation der unabhängigen Variablen selbst, nicht ihrer Residuen (Korrelation der Originalreihe mit ihren Lags)

 

Die Nullhypothese lautet: 

"Korrelationskoeffizient der Autokorrelation erster Ordnung = 0" 

 

Die Prüfgrösse lautet

Durbin h-Statistik Teststatistik Durbin Watson Teststatistik = Durbin Watson Statistik 

n: =Anzahl Messwerte der betrachteten unabhängigenVariablen 

s2 := Varianz des Steigungsparameters der betrachteten unabhängigen Variablen im Regressionsmodell. Die Varianz ergibt sich aus dem Regressionsmodell. (Intervallschätzung des Steigungsparameters).

h ist approximativ standardnormalverteilt

Das (zweiseitige) Signifikanzniveau für h kann man zB. mittels folgender Excelformel leicht berechnen: 

STANDNORMVERT(h)

Die Steigung geht deshalb mit ein, da sie ja stark  zur Autokorrelation beitragen würde.

 

 

Zurück zum Glossar (Durbin h-Statistik)

21.08.2005


Zurück zum Glossar (Ljung Box Test)

Ljung Box Test

 

Dieser Test testet gleichzeitig auf Autokorrelation beliebig vieler (k) Ordnungen, d.h, ob die Werte einer Reihe von den jeweiligen k Vorgängern geprägt sind (Also ein Omnibus Test). 

 

Für Tests bis "nur" erster Ordnung siehe Durbin Watson Test und Durbin h-Statistik.

 

Die Nullhypothese lautet: 

"Alle Korrelationskoeffizienten der Autokorrelation bis k-ter Ordnung = 0" 

 

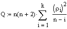
Die Prüfgrösse lautet 

Ljung Box Teststatistik

Q ist Chi Quadrat verteilt mit k Freiheitsgraden. 

Das Signifikanzniveau für Q kann man zB. mittels folgender Excelformel leicht berechnen: 

1-CHIVERT(Q;k)

  • ri ist der Korrelationskoeffizient der Originalreihe mit ihrem i-ten Lag
  • n ist die Anzahl Werte der Wertereihe 
  • k: Der Test testet die ersten k Lags gleichzeitig.

 

Zurück zum Glossar (Ljung Box Test)

21.08.2005

Datenschutzhinweise