Zur Hauptseite  ..\

zur Glossarseite    Ohne Frames


Spearmanscher Rangkorrelationskoeffizient Rho

 

 

Ein direkter Abkömmling des Produkt-Moment Korrelationskoeffizienten (wird hier gezeigt),der auf ordinalem Skalenniveau zum Einsatz kommen kann. 

Der Spearman'sche Rangkorrelationskoeffizient unterstellt allerdings (gerade wegen der Eigenschaft, Abkömmling des Produkt-Moment Korrelationskoeffizienten zu sein) Äquidistanz zwischen den Rangnummern, was ja eigentlich keine Eigenschaft von Rangreihen ist. 

(Bei der Anwendung muss dies bedacht werden).

Wertebereich (-1.....+1). 

Spearmans r ist einfacher und bekannter als Kendalls Tau, jedoch weit weniger mächtig. 

Bei (selbst einzelnen) Ausreissern reagiert Spearmans r sehr empfindlich. 

In solchen Fällen sollte Kendalls Tau herangezogen werden. 

Spearman Rho Rangkorrelationskoeffizient

Herleitung des Rangkorrelationskoeffizienten aus dem Produkt-Moment-Korrelationskoeffizienten.

N: Anzahl Werte der beiden gleich langen Messreihen, 

di: Differenz korrespondierender Werte des Paares i. 

Bei Rangbindungen ( Ties) siehe die Anmerkungen am Ende dieser Rubrik.

 

Unter der Nullhypothese ist r um 0 asymptotisch normalverteilt (genauer: t-verteilt). 

Signifikanz kann nach folgenden beiden Formeln getestet werden: 

Spearman Rho Signifikanz Spearman Rho Signifikanz

 

Wendet man auf das t der linken Formel die Excelfunktion [1-TVERT(ABS(t) ; n-2 ; 1)] an, so erhält man das einseitige Signifikanzniveau von r.

 [1-TVERT(ABS(t) ; n-2 ; 2)] liefert entsprechend das zweiseitige Signifikanzniveau von rho.

 

Entsprechend liefert die Excelfunktion STANDNORMVERT(ABS(u)) bei der rechten Formel auf das u angewandt das einseitige Signifikanzniveau von r

 

Einseitig bedeutet hier jeweils, dass die Nullhypothesenformulierung lautet:

"r > 0 (oder < 0)" --> gerichtete Hypothese

Zweiseitige Formulierung würde lauten:

"r ist von Null verschieden" --> ungerichtete Hypothese

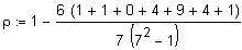
Beispiel:

X 1 2 3 4 5 6 7
Y 2 1 3 2 2 4 8
1 1 0 4 9 4 1

            =0.74

Signifikanzprüfung (einseitig):

 

Nach obigen Formeln ergibt sich

t =  2,46  ---> 1-TVERT(2,46 ; 7-2 ; 1) = 97,1%

u = 1,81  ---> STANDNORMVERT(1,81) = 96,5%

 

In Tabellen für die Schwellenwerte von Spearmans r findet man für die einseitige 95% Schwellen ein kritisches r von 0,714 für n=7.

Rechnet man für r = 0,714, n=7 mit den obigen Excelfunktionen, so erhält man 96% bzw. 96,4%.

Beide Formeln rechnen also liberal.  

 

Für Berechnungen sowie Tabellen für exakte Schwellenwerte für r bis n=30 siehe folgende Exceltabelle.

Für eine Gegenüberstellung Pearson'scher Korrelationskoeffizient - Spearman'scher Rangkorrelationskoeffizient - Kontingenzkoeffizient F siehe diese Exceldatei.

 

Der Spearmansche Rangkorrelationskoeffizient kommt auch bei Trendanalysen von Messreihen zum Einsatz.

Siehe dazu Rangkorrelationstest.

 

Siehe auch Korrelationskoeffizient

Siehe auch Tabelle Korrelationskoeffizienten

Anmerkungen 

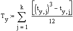
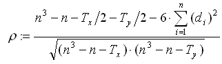
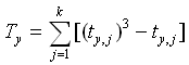
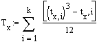
Liegen nennenswert viele Rangbindungen vor (>20% aller Werte), dann bekommt die ursprüngliche Formel für Spearman's Rho

Spearman Rho 

folgende Gestalt:   

Spearman Rho Rangbindung

Spearman Rho Rangbindung

Spearman Rho Rangbindung

i durchläuft alle Rangbindungsgruppen der beiden Variablen x und y. 

tx,i und ty,j sind die Anzahl Werte in der i-ten bzw. j-ten Rangbindungsgruppe. 

 

Signifikanzberechnungen bleiben davon unberührt.


Nachtrag April 2019:
Die Formeln kann man etwas geschickter wie folgt darstellen (es kommt dasselbe heraus):

Spearman Rho




Datenschutzhinweise