Für eine allgemeinere Einführung in das Thema für Vorgesetzte und Entscheider siehe hier.
Die Funktionsweise von statistischer Prozesslenkung sei anhand der am Häufigsten eingesetzten Variante (Shewhart Karte) etwas detaillierter erklärt.
0. Grundlegendes
Im Folgenden wird "echte" SPC erklärt, also SPC, die sich ausschliesslich an den Prozesseigenschaften und weniger an den Toleranzgrenzen orientiert ("Regelkarten").
Am Schluss dieser Rubrik folgen ein paar Anmerkungen zu rein an den Toleranzgrenzen orientierter SPC ("Annahmekarten").
1. Vorüberlegungen
Zunächst einmal muss sichergestellt werden, dass diejenigen Merkmale, die SPC unterworfen werden sollen, auch dafür geeignet sind. Die Eignung ist für jedes Merkmal getrennt zu untersuchen.
Bedingungen dafür:
Das Merkmal muss auf kontinuierlichem Skalenniveau liegen,
Der Prozess muss von Anfang an hinsichtlich des betreffenden Merkmals mit hinreichendem Wissen über SPC etabliert worden sein. Nachträgliche Einführung von SPC scheitert meisstens.
In der Praxis bedeutet das, dass es sich um vollautomatische Prozesse handeln sollte, deren Ausschussverhalten von Anfang an für den Sub-Promillebereich geplant wurde.
Je mehr manuelle Anteile, desto weniger ist SPC überhaupt realisierbar.
Technologien, in denen SPC generell gut funktioniert, sind:
Metallverarbeitende Industrie
Halbleiterindustrie
Anmerkung:
Die allermeissten öffentlich verfügbaren Beispiele für SPC kommen aus der Maschinenbau- Industrie und der Halbleiterindustrie.
Allein daraus kann man indirekt entnehmen, dass SPC in anderen Branchen nur bedingt bis gar nicht einsetzbar ist, was auch den Erfahrungen des Verfassers entspricht.
Sind die vorgenannten Punkte erfüllt, dann fährt man mit einer Prozessfähigkeitsanalyse fort.
Für jedes Merkmal ist eine eigene Prozessfähigkeitsanalyse anzustrengen.
2.) Prozessfähigkeitsanalyse
Es werden mindestens 25 (wegen der statistischen Sicherheit), besser jedoch 50 Teile hinsichtlich des zu analysierenden Merkmals vermessen.
Bedingungen dafür:
Es dürfen dabei nur Messmittel zum Einsatz kommen, die eine Mess System Analyse (MSA) erfolgreich bestanden haben.
Die Bedingungen, unter denen die Teile gefertigt wurden, müssen möglichst die späteren realen Bedingungen wiederspiegeln.
Beispiel
Aus den oben ermittelten Messwerten wird mittels statistischer Methoden die zu dem Mass passende Verteilungsfunktion sowie der cpk Wert geschätzt.
Bei handelsüblichen Softwarepaketen wird kein bis viel Testaufwand betrieben, um festzustellen, ob die Messwerte normalverteilt sind oder nicht.
Generell ist das Vorliegen einer Normalverteilung immer wünschenswert, da sich alle nachfolgenden Auswertungsschritte vereinfachen. (-->zentraler Grenzwertsatz)
Die hierfür angewandten Methoden fallen unter die Kategorie der Anpassungstests.
Grundsätzlich sollte bei jeder Prozessfähigkeitsanalyse der
wahrscheinlich zugrundeliegende Verteilungstyp entweder getestet oder
aus plausiblen Überlegungen heraus begründet werden.
Beispiel für eine cpk-Berechnung.
Siehe dazu das Tabellenblatt "1. Bestimmung des cpk Wertes".
(Aus praktischen Gründen wurde in dem Beispiel im Vorhinein dafür gesorgt, dass die Messwerte normalverteilt sind)
Im Beispiel ergibt sich ein cpk Wert von 1.24. Das ist etwas zu wenig, verglichen mit einem für SPC erforderlichen Wert von mindestens 1.33 (Begründung weiter unten).
Nun ist die cpk Berechnung wie alle auf Stichproben basierenden Berechnungen mit einer Unschärfe behaftet (--> Vertrauensintervall).
Beispiel für das Vertrauensintervall der cpk Berechnung.
Siehe dazu das Tabellenblatt "2. cpk Vertrauensintervall".
Mit den unter Tabellenblatt "1. Bestimmung des cpk Wertes" gegebenen Daten erkennt man, dass man bei einem "wahren" (aber unbekannten) cpk Wert von 1.33 in immerhin 26 von 100 Fällen (Vertrauensintervall = 26%) einen gemessenen cpk Wert von 1.24 oder weniger erhalten würde.
Wir nehmen in diesem Beispiel das relativ grosse Risiko eines tatsächlich zu kleinen cpk Wertes in Kauf.
3. Bestimmung der Eingriffsgrenzen
Unten ist die Wahrscheinlichkeits-Verteilungsfunktion (eigentlich "Dichtefunktion") der Messwerte dargestellt.
Siehe dazu auch das Tabellenblatt "3. Verteilungsfunktion" des Beispiels.
Der Mittelwert liegt bei 5 (gestrichelte Linie), die Standardabweichung bei 0,2.
Ausserdem sind die Toleranzgrenzen in Rot mit eingezeichnet.
Der Bestimmung der Eingriffsgrenzen liegt nun folgender Gedankengang zugrunde:
Wenn der Prozess seinen Mittelwert von 5 beibehält (was man prinzipiell ja nicht weiss), dann sind Messwerte umso unwahrscheinlicher, je weiter sie von 5 entfernt sind.
Mit Kenntnis über die Eigenschaften der Normalverteilung lassen sich nun Grenzen berechnen, oberhalb und unterhalb derer Messwerte nur mit einer Wahrscheinlichkeit von z.B. 1% vorkommen. (jeweils 0,5% für oberhalb 5,515 bzw. unterhalb 4.485 liegende Werte).
Mit der Excelfunktion NORMINV(99.5%,5,0.2) = 0,515 ergibt sich in diesem Beispiel die obere Eingriffsgrenze zu 5,515. Die untere Eingriffsgrenze liegt dann spiegelbildlich bei 4,485.
Misst man also einen Wert, der oberhalb 5,515 oder unterhalb 4,485 liegt, zieht man den Umkehrschluss, dass der Prozessmittelwert in Wahrheit (was man nicht weiss) nicht mehr bei 5, sondern woanders liegt.
Deshalb greift man in den Prozess ein, was z.B. mit der Ziehung einer zweiten Kontroll- Stichprobe eingeleitet werden kann.
Mit der bisherigen Information lässt sich bereits eine Regelkarte konstruieren:
| Die Toleranzgrenzen sind nur aus didaktischen Gründen eingezeichnet. Die Orientierung sollte ausschliesslich an den Eingriffsgrenzen erfolgen. |
| Die oben aus didaktischen Gründen beschriebene Regelkarte hat gravierende Nachteile, weshalb sie in der Praxis in der Form nicht eingesetzt wird. |
Da immer nur 1 Wert entnommen wird, erhält man keine Information über die momentane Streuung.
Theoretisch könnte bei stabilem Mittelwert die Streuung grösser geworden sein, sodass öfters als während der Prozessfähigkeitsanalyse Werte ausserhalb der Eingriffsgrenzen liegen.
Dies hätte eine Erhöhung des Ausschusses zufolge, die u.U. erst nach etlichen Messungen erkannt werden würde
Die Aussagekraft eines einzelnen Messwertes ist generell sehr gering.
Selbst wenn man gleitend immer die letzten n Messwerte zusammenfasst, bekommt man allerhöchstens eine Trendinformation, also Information über die Prozessentwicklung während eines längeren Zeitraums.
Nähere Informationen zum Prozesszustand während der Messwerterfassung sind aus einem einzelnen Messwert generell nicht ableitbar.
Um diese Nachteile auszumerzen, führt man zusätzlich 2 Dinge ein:
Es werden pro Messzeitpunkt mindestens 5 Messwerte dem Prozess entnommen, und deren Mittelwert in die Regelkarte eingetragen,
Es wird zusätzlich zu jedem Messwertesatz dessen Standardabweichung berechnet und in einer zweiten Regelkarte geführt.
Beispiel mit 15 Stichproben zu je 5 Einzelmesswerten.
Siehe Tabellenblatt "5. Shewhart Karte"

Trägt man diese Daten in die entsprechende Regelkarte, so erhält man folgendes Bild, das unter dem Namen Shewhart Karte bekannt ist:
Man erkennt folgende Sachverhalte:
Es handelt sich eigentlich um 2 Regelkarten, eine für die Stichprobenmittelwerte, und eine für die Standardabweichung der Stichproben.
Die Toleranzgrenzen sind nicht mehr in der Regelkarte enthalten. Das entspricht vollends dem Geist von SPC, demzufolge die Orientierung ausschliesslich an den Eingriffsgrenzen zu erfolgen hat. (Falls Orientierung an den Toleranzgrenzen: --> Annahmekarte)
Das Risiko, dass Einzelmesswerte ausserhalb der Toleranzgrenzen liegen können, hat man indirekt durch die Forderung eines Mindest-cpk-Wertes definiert.
Die Eingriffsgrenzen für den Stichprobenmittelwert liegen deutlich näher beisammen als im weiter oben beschriebenen Fall für die Ziehung von jeweils nur einem Messwert.
Dies ist auch verständlich, da aufgrund des zentralen Grenzwertsatzes die Mittelwerte von Stichproben eine umso grössere zentrale Tendenz aufweisen, je grösser die Stichproben sind.
Die selben Überlegungen gelten entsprechend für die Standardabweichung.
Die Berechnung der Eingriffsgrenzen geschieht wie folgt:
| Mittelwert | Standardabweichung | |
|
Obere Eingriffsgrenze |
||
|
Untere Eingriffsgrenze |
||
|
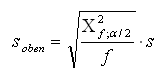
Xquer: Mittelwert, der in der Prozessfähigkeitsanalyse ermittelt worden ist, s: Die in der Prozessfähigkeitsanalyse ermittelte Standardabweichung, n: Stichprobengrösse, a: 1-Signifikanzniveau, Eingriffswahrscheinlichkeit, Z: Umkehrfunktion der Standardisierten Normalverteilung. In Excel durch die Funktion STANDNORMINV(1-a/2) realisierbar X2: Umkehrfunktion der (kumulierten) Chi-Quadrat Verteilung. In Excel durch die Funktion CHIINV(1-a/2,f) realisierbar f: Anzahl Freiheitsgrade, hier: n-1 (n=Stichprobengrösse) |
||
Die oben dargestellte Shewhartkarte ist die am häufigsten eingesetzte Regelkarte und repräsentiert die Kombination von Mittelwert- und Standardabweichungskarte.
Sie ist natürlich nur bei Massen auf kontinuierlichem Skalenniveau einsetzbar.
Die bisher für Normalverteilung beschriebene Vorgehensweise gilt entsprechend für jede Verteilungsform. (Lediglich andere Formeln)
Mit leichten Abwandlungen gelten diese Überlegungen auch für einseitig begrenzte, nullbegrenzte und natürlich begrenzte Merkmale.
Für weitere Regelkartentypen siehe Regelkarten.
Anmerkungen
Wie bisher beschrieben, treten die Toleranzgrenzen nur während der Prozessfähigkeitsanalyse in Erscheinung.
Einmal für fähig befundene Prozesse werden dann nur gegen die Eingriffsgrenzen gemessen, die ja nach bestandener Prozessfähigkeitsanalyse innerhalb der Toleranzgrenzen liegen.
Der Fokus liegt also eindeutig auf der Stabilität des Prozesses
Nun gibt es aber oft Situationen, wo man
entweder die Toleranzen "ausreizen" möchte, oder aber wo der Prozess nicht hinreichend fähig ist
(zu kleiner cpk Wert).
In diesen Fällen fährt man den Prozess gegen "modifizierte" Eingriffsgrenzen, die sich ausschliesslich an den Toleranzgrenzen orientieren und nicht am Prozess selbst.
Den Hintergrund dieser Überlegung bildet die Operationscharakteristik einer festzulegenden Stichprobe.
Man lässt also einen gewissen Auschussanteil mit einer festgelegten Wahrscheinlichkeit zu.
Die Formel für die obere Eingriffsgrenze lautet dann anstelle
nun
Drückt
man den Abstand Toleranzgrenze - Eingriffsgrenze, also den Term in Einheiten der
Standardabweichung s aus, dann hat man den
sogenannten Abgrenzungsfaktor.
Dieser spielt in der graphischen Ermittlung der Eingriffsgrenzen eine wichtige Rolle.
Für detailliertere Erklärungen zu graphischen Ermittlung von Annahmekarten siehe Wilrich Nomogramm.
15.01.2006
Datenschutzhinweise